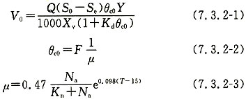
7.3 生物脱氮除磷 7.3.1 采取生物脱氮除磷的污水应符合下列规定: 1 生物脱氮除磷时,系统中有毒害和抑制性物质的允许浓度宜通过试验或按有关资料确定; 2 生物脱氮除磷时,污水BOD5与总氮之比宜大于4,BOD5与总磷之比宜大于17; 3 进水BOD5不能满足脱氮除磷要求时,应外加碳源; 4 好氧段(池)剩余碱度宜大于70mg/L(以CaCO3计)。 7.3.2 采用缺氧/好氧(ANO)工艺脱氮时,反应池容积可采用下列方法计算: 1 采用污泥负荷法,好氧段(池)容积可按公式(7.2.3-1)计算,容积应满足按BOD5负荷和总氮负荷计算的结果,缺氧段(池)容积可按好氧段(池)容积的1/3~1/4取值。 2 采用硝化反硝化动力学法计算: 1)好氧段(池)容积可按下列公式计算: 式中:V0——好氧段(池)容积(m3); θc0——好氧段污泥泥龄(d); Y——污泥产率系数; Q——生物反应池的设计流量(m3/d); S0——进水BOD5浓度(mg/L); Se——出水BOD5浓度(mg/L); Xv——生物反应池内混合液挥发性悬浮固体平均浓度(g[MLVSS]/L); Kd——衰减系数(d-1),宜根据试验或相似污水运行数据确定,无数据时,可取0.05~0.1; F——安全系数,取1.5~3.0; μ——硝化菌比生长速率(d-1); Na——硝化出水氨氮浓度(mg/L); Kn——硝化半速率常数(mg/L),可取1.0mg/L; T——设计温度(℃); 0.47——15℃时硝化菌最大比生长速率(d-1)。 2)缺氧段(池)容积可按下列公式进行计算: 式中:Vn——缺氧段(池)容积(m3); N0——生物反应系统进水总氮浓度(mg/L); Ne——生物反应系统出水总氮浓度(mg/L); Kde——脱氮速率{kg[N]/(kg[MLSS]·d)}; Kde(20)——20℃的脱氮速率,无数据时可取0.03{kg[N]/(kg[MLSS]·d)}~0.06{kg[N]/(kg[MLSS]·d)}; X——生物反应池内混合液悬浮固体平均浓度(g[MLSS]/L); △Xv——排出生物反应系统的挥发性悬浮固体量(kg[VSS]/d)。 7.3.3 缺氧/好氧工艺主要设计参数宜根据试验或相似污水运行数据确定,无数据时可按下列数据取值: 1 BOD5污泥负荷宜取0.05kg[BOD5]/(kg[MLSS]·d)~0.15kg[BOD5]/(kg[MLSS]·d); 2 总氮污泥负荷不宜大于0.05kg[TN]/(kg[MLSS]·d); 3 混合液悬浮固体平均浓度宜取2.5g[MLSS]/L~4.5g[MLSS]/L; 4 污泥龄宜取11d~23d; 5 污泥回流比宜取50%~100%; 6 混合液回流比宜取200%~400%; 7 污泥产率宜取0.3kg[VSS]/kg[BOD5]~0.6kg[VSS]/kg[BOD5]。 7.3.4 采用厌氧/缺氧/好氧工艺脱氮除磷时,反应池好氧段(池)、缺氧段(池)的容积可按本规范第7.3.2条的规定计算。厌氧段(池)的容积可按水力停留时间计算,水力停留时间宜为1h~2h。 7.3.5 厌氧/缺氧/好氧工艺主要设计参数宜根据试验或相似污水运行数据确定,无数据时宜按下列数据取值: 1 BOD5污泥负荷宜取0.1kg[BOD5]/(kg[MLSS]·d)~0.2kg[BOD5]/(kg[MLSS]·d); 2 混合液悬浮固体平均浓度宜取2.5[MLSS]/L~4.5g[MLSS]/L; 3 污泥龄宜取10d~20d; 4 污泥回流比宜取20%~100%; 5 混合液回流比宜大于或等于200%; 6 污泥产率宜取0.3kg[VSS]/kg[BOD5]~0.6kg[VSS]/kg[BOD5]。 7.3.6 厌氧/缺氧/好氧工艺脱氮除磷时,可根据进水水质和处理要求,经技术经济分析比较后,选择各种改进型的工艺。 7.3.7 生物除磷的剩余污泥宜采用机械浓缩。